Zanim zapoznasz się z całkowaniem przed podstawianie, warto powrócić do samej definicji całek. Dzięki temu wszystkie obliczenia będziesz wykonywać szybciej i poprawnie.
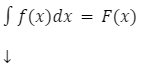
Całkowaniem nazywamy działanie odwrotne do różniczkowania. Całka jest oznaczana symbolem:
symbolizuje on łacińskie słowo “Summa”, czyli suma
Zapis całki nieoznaczonej (funkcja pierwotna):
![]()
Zapis całki oznaczonej:

Całką funkcji
jest taka funkcja
że:
![]()
Funkcja
która spełnia ten warunek, jest określana mianem funkcji pierwotnej.
Cała operacja całkowania jest zapisywana:

– oznacza, że funkcja f(x) jest poddawana całkowaniu po zmiennej x. Pamiętaj, że symbol dx należy zawsze zapisywać, nawet jeśli na nic on nie wpływa.
Schemat całkowania
w miejscu kropek powinien znaleźć się wzór funkcji, którą całkujemy
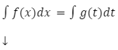
Całkowanie przez podstawianie
Tego rodzaju całkowanie wykorzystujemy, kiedy wśród funkcji podcałkowej jesteśmy w stanie wyodrębnić pewną funkcję oraz jej pochodną.
Funkcja
może zostać zapisana w następujący sposób:
![]()
![]()
funkcja
posiada pochodną:


w pierwszej linii oznaczamy, za co podstawiamy, w drugiej z kolei obliczamy pochodne, tego co znajduje się wyżej – osobno dla lewej oraz osobno dla prawej strony.

Po prawej stronie zmienna to “x’ więc po obliczeniu pochodnej należy dopisać “dx”. Analogicznie, gdy po lewej stronie zmienną jest “t” to po obliczeniu pochodnej należy dopisać “dt”.
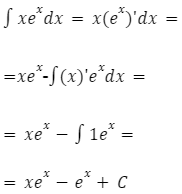
Całkowanie przez części
Jeśli funkcje f i h mają ciągłe pochodne, to:
![]()
lub
![]()
Przykład
Obliczanie całki ![]()

Całki w nauce
Całki odnajdują zastosowanie w wielu dziedzinach naukowych – najczęściej w fizyce i chemii. Dzięki nim możemy m.in. obliczyć objętości kształtów nieregularnych, które nie jesteśmy w stanie obliczyć z podstawowych, dobrze nam znanych wzorów. Co ciekawe całka może określać różne pojęcia – są one jednak ze sobą mocno powiązane. Najczęściej oznacza jednak całkę oznaczoną lub całkę nieoznaczoną. Jeśli masz trudności z przybliżeniem sobie definicji całki, wyobraź sobie sumę nieskończenie wielu nieskończenie małych wartości. Możemy je np. otrzymać przez pomnożenie funkcji przez nieskończenie małą różniczkę jej zmiennej. Oprócz całki oznaczonej i nieoznaczonej możemy spotkać: całki krzywoliniowe, całki powierzchniowe, całki podwójne, całki eliptyczne, całki wymiany.