Funkcja liniowa – definicja
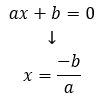
Funkcja liniowa jest funkcją wielomianową określoną wzorem f(x)=ax+b. Często możemy spotkać się także z zapisem funkcji liniowej pod postacią wzoru w postaci kierunkowej: y=ax+b. Funkcję liniową możemy także zapisać, wykorzystując postać ogólną, wówczas wzór wygląda następująco: ![]()
Wykres funkcji liniowej stanowi prosta – stąd też wzięła się sama nazwa tej funkcji.
![]()
a – współczynnik kierunkowy prostej
b – wyraz wolny
Funkcję liniową nazywamy:
rosnącą, kiedy a>0,
malejącą, kiedy a<0,
stałą, kiedy a=0.
Funkcja liniowa – wykres
Wykres funkcji liniowej to prosta, do której narysowania wystarczy wyznaczenie dwóch punktów, które do niego należą.
Przykład
Funkcja liniowa y=2x-1
Aby narysować wykres funkcji, należy obliczyć współrzędne dwóch dowolnych punktów, przez które poprowadzona jest prosta.
Dla x=0,
![]()
z tego wynika, że do wykresu funkcji należy punkt o współrzędnych (0,-1)
Dla x=2,

z tego wynika, że do wykresu funkcji należy punkt o współrzędnych (2,3).
Posiadając współrzędne dwóch punktów, wystarczy zaznaczyć je na wykresie funkcji i poprowadzić prostą przechodzącą przez nie.
Miejsce zerowe funkcji liniowej
Miejsce zerowe funkcji liniowej jest taką wartością argumentu, dla której wartość wynosi zero. Argumenty to wartości funkcji z poziomej osi układu współrzędnych – x.
Aby obliczyć miejsce zerowe funkcji liniowej, możesz porównać wzór funkcji do zera.
Przykład
Funkcja f(x)=4x-15

Funkcja liniowa ma:
jedno miejsce zerowe, kiedy przecina się z osią X,
nieskończoną ilość miejsc zerowych, kiedy zapisana jest równaniem y=0,
Proste równoległe i proste prostopadłe a funkcja liniowa
Proste o równaniach:

są prostymi równoległymi do siebie, jeśli ich współczynniki kierunkowe są takie same ![]()
są prostymi prostopadłymi, kiedy ich współczynniki kierunkowe spełniają podaną poniżej zależność:![]()
Zastosowanie funkcji liniowej
W jakich obszarach funkcja liniowa odnajduje zastosowanie w życiu codziennym? Tak naprawdę zakres jej zastosowań jest bardzo szeroki. Tego rodzaju funkcja jest nieoceniona przy analizie dynamiki oraz współzależności. Możemy wykorzystać ją, chociażby do zbadania współzależności pomiędzy poziomem wykształcenia a pensją – funkcja liniowa jest więc w statystyce. Odgrywa także istotną rolę w linearyzacji skomplikowanych zagadnień – wówczas model układu liniowego pomaga przybliżyć model układu nieliniowego.
Przykłady zadań z funkcji liniowej: