Liczbami rzeczywistymi nazywamy zbiór wszystkich liczb – zarówno wymiernych, jak i niewymiernych. Do ich oznaczenia wykorzystujemy symbol:
ℝ
Przy omawianiu liczb rzeczywistych warto powrócić do podstawowych informacji o rodzajach liczb. Wyróżniamy m.in.:
- liczby naturalne,
- liczby całkowite,
- liczby wymierne,
- liczby niewymierne.
Poniższa tabelka przedstawia wszystkie te liczby wraz z ich definicją, oznaczeniem oraz przykładami.
| Nazwa | Definicja | Oznaczenie | Przykłady |
| Naturalne | liczby całkowite dodatnie oraz 0 (inaczej całkowite nieujemne) | ℕ | 1, 2, 256, 1236 |
| Całkowite | liczby naturalne i ich ujemne odpowiedniki | ℤ | 1, -7, 29, -8956 |
| Wymierne | liczby, które można zapisać w postaci ułamka dwóch liczb całkowitych, w ich przypadku mianownik musi być różny od zera | ℚ | 1,4 10 -1220,7 0,(3) – |
| Niewymierne | liczby, których nie można zapisać w postaci ilorazu dwóch liczb całkowitych | ||
| Rzeczywiste | wszystkie liczby wymierne i niewymierne | ℝ | -4,1, |
Liczby rzeczywiste możemy śmiało nazwać rozszerzeniem zbioru liczb wymiernych.
Liczbami rzeczywistymi mogą więc być:
- liczby naturalne,
- liczby ujemne,
- ułamki zwykłe,
- ułamki dziesiętne – także te o nieskończonym rozwinięciu dziesiętnym,
- liczby niewymierne –
.
.
Działania na liczbach rzeczywistych
Na liczbach rzeczywistych możemy wykonywać wszystkie podstawowe działania arytmetyczne:
- dodawanie i odejmowanie,
- mnożenie i dzielenie – oprócz dzielenia przez zero,
- potęgowanie i pierwiastkowanie – jeśli wykładnik i stopień pierwiastka są odpowiednie.
Możliwe jest także porównywanie liczb rzeczywistych.
Liczby niewymierne
Między dwiema różnymi liczbami rzeczywistymi znajdziemy liczby niewymierne. Przykładem takiej liczby jest
. Skąd wiemy, że liczba ta jest niewymierna?
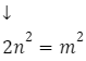
Aby udowodnić, że liczba
jest niewymierna, warto na chwile założyć, że jest zupełnie odwrotnie. Jeśli tak by było, to znaczyłoby, że:
m,n – liczby całkowite,

Ostatnia z równości nie może być prawdziwa, ponieważ oznaczałaby, że przy rozkładzie na czynniki pierwsze liczba 2 występuje parzystą liczbę razy po prawej stronie i nieparzystą po lewej. W takiej sytuacji otrzymujemy sprzeczność.
Powyższy dowód niewymierności
jest dowodem przez sprowadzenie do sprzeczności. Dowód na sprowadzenie do sprzeczności polega na udowodnieniu, że przyjęcie prawdziwości jakiegoś zdania prowadzi do sprzeczności.
Liczby rzeczywiste w życiu codziennym
Liczby rzeczywiste towarzyszą nam na każdym kroku. To właśnie dzięki nim możliwe jest dokonywanie wszelkich płatności, obliczeń długości czy wykonywanie innych pomiarów. Liczby rzeczywiste użyjemy do określenia naszej wysokości, wieku, a nawet numeru PESEL.