Pierwiastkowanie jest operacją odwrotną do potęgowania. Sam pierwiastek jest oznaczony symbolem:
![]()
Zapis:
![]()
odczytujemy następująco:
Pierwiastek n-tego stopnia z liczby a jest równy b, kiedy b podniesione do potęgi n-tej jest równe a.
![]()
n – stopień pierwiastka
a – liczba podpierwiastkowa
b- pierwiastek n-tego stopnia z liczby a
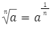
Jako że pierwiastkowanie jest działaniem odwrotnym do potęgowania, pierwiastki możemy także zapisać przy użyciu potęg. Wygląda to następująco:
![]()
Dzięki temu zapisowi często dużo łatwiej dokonywać działania na pierwiastkach. Warto więc zapamiętać, go i wykorzystywać w przyszłości do obliczeń.
Obliczanie pierwiastka
Pierwszym krokiem do obliczenia pierwiastka jest zwrócenie uwagi na stopień pierwiastka. Jeśli mamy zapis
, to stopniem pierwiastka jest widoczna 3. Co, jeśli stopień pierwiastka nie jest jawnie zapisany? Gdy mamy wyłącznie zapis
oznacza to, że mamy do czynienia z pierwiastkiem kwadratowym, który możemy równie dobrze zapisać
.
Aby obliczyć
należy zastanowić się, jaka liczba podniesiona do kwadratu da nam liczbę 4. Obliczenie te jest proste:
. 2 podniesione do kwadratu pozwala nam uzyskać liczbę 4.
Ważne: Wynikiem pierwiastkowania kwadratowego (gdy pierwiastek jest drugiego stopnia) zawsze będzie liczba dodatnia. Podobnie pod pierwiastkiem kwadratowym może znaleźć się wyłącznie liczba dodatnia. Zapisy
czy
są niepoprawne. Liczby takie nie istnieją w zbiorze liczb rzeczywistych. Istnieją natomiast liczby oraz .
Widzimy więc, że jeśli mamy pierwiastek stopnia parzystego, to nie możemy go obliczać z liczb ujemnych, natomiast pierwistek stopnia nieparzystego z liczb ujemnych jak najbardziej istnieje i możemy go obliczyć.
Pierwiastek z pierwiastka
Działania na pierwiastkach, w których pojawia się pierwiastek z pierwiastka, na pierwszy rzut oka wyglądają na bardzo skomplikowane. W rzeczywistości jednak obliczenia nie są takie trudne. Wystarczy tylko w pierwszej kolejności obliczyć pierwiastek wewnętrzny, a następnie zająć się zewnętrznym. Dużo łatwiej zrozumieć jednak cały proces na przykładach. Przyjrzyj się więc tym podanym poniżej.
Przykłady

Dodawanie i odejmowanie pierwiastków
Jednym z ważniejszych działań na pierwiastkach jest ich dodawanie i odejmowanie. Kiedy mamy do czynienia z działaniem, w którym liczby podpierwiastkowe są takie same, wystarczy dodać lub odjąć liczby stojące przed pierwiastkami i przepisać dany pierwiastek.
Przykłady

rozwiązanie to dla wielu okazuje się pułapką i zapisują oni błędny wynik:
. Należy pamiętać, że
to inaczej
. Zapisując więc
otrzymujemy
.
Mnożenie i dzielenie pierwiastków tego samego stopnia
Zasada dokonywania obliczeń gdy występuje mnożenie pierwiastków, jest bardzo prosta. Podczas obliczeń należy liczby poza pierwiastkami mnożyć/dzielić z innymi liczbami poza pierwiastkowymi, z kolei liczby podpierwiastkowe mnożyć/ dzielić z liczbami podpierwiastkowymi.
Regułę tę można zapisać za pomocą czytelnych wzorów:
