Sześcianem nazywamy wielościan foremny o sześciu ścianach, które są w kształcie przystających kwadratów.
Sześcian posiada:
- 12 krawędzi,
- 8 wierzchołków,
- 4 przekątne.
Sześcian jest jednocześnie:
- graniastosłupem prawidłowym,
- prostopadłościanem,
- rombościanem,
- hipersześcianem (w przestrzeni trójwymiarowej).
Pomiędzy ścianami sześcianu o wspólnej krawędzi znajduje się kąt o mierze 90°.
Sześcian – najważniejsze wzory
Obliczanie poszczególnych wzorów sześcianu jest bardzo proste, ze względu na prostotę tej figury. Wszystkie ściany sześcianu mają bowiem taką samą powierzchnię, z kolei wszystkie krawędzie – taką samą długość.
Pole powierzchni sześcianu
Pole powierzchni całkowitej sześcianu obliczane jest poprzez dodanie wszystkich pól powierzchni ścian. Jako że wszystkie ściany sześcianu są takie same, wystarczy pole jednej ściany pomnożyć razy 6.
Wzór na pole powierzchni całkowitej sześcianu:
a – bok sześcianu
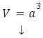
Objętość sześcianu
Do obliczenia objętości sześcianu także potrzebujemy wyłącznie długości jednego boku. Wzór na objętość sześcianu wygląda następująco:
a – bok sześcianu
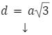
Długość przekątnej sześcianu
Długość przekątnej sześcianu możemy obliczyć na dwa sposoby. Pierwszym z nich jest skorzystanie z gotowego wzoru, który wygląda następująco:
d – przekątna sześcianu
a – bok sześcianu
W drugim sposobie na obliczenie długości przekątnej sześcianu korzystamy z twierdzenia Pitagorasa. Wystarczy wówczas zaobserwować, że w stworzonym trójkącie prostokątnym, w którym przeciwprostokątna jest przekątną sześcianu, przekątna podstawy to przekątna kwadratu, a więc
:

Promień kuli wpisanej w sześcian
Zadania z kulą wpisaną w sześcian lub opisaną na sześcianie pojawiają się bardzo często. Warto więc poznać wzory na promień kuli wpisanej w sześcian i opisanej na sześcianie. Wzór na pierwszy, czyli promień kuli wpisanej w sześcian wygląda następująco:
![]()
Promień kuli opisanej na sześcianie
Promień kuli opisanej na sześcianie zapisujemy z kolei wzorem:
![]()
Sześcian w życiu codziennym
Ciężko wskazać, w jakich obszarach życia możemy doszukać się sześcianów, bo tak naprawdę otaczają nas one ze wszystkich stron. Powyższe wzory odnajdują zastosowanie na co dzień. Z materiałów o kształcie tej figury przestrzennej zbudowany jest nawet prawdopodobnie nasz dom. Na etapie planowania, w szczególności wzór na pole powierzchni całkowitej, jest niezwykle często wykorzystywany. Warto więc zapamiętać wszystkie wzory, zwłaszcza że są bardzo proste.
27. Sześcian – definicja
Sześcianem nazywamy wielościan foremny o sześciu ścianach, które są w kształcie przystających kwadratów.
Sześcian posiada:
- 12 krawędzi,
- 8 wierzchołków,
- 4 przekątne.
Sześcian jest jednocześnie:
- graniastosłupem prawidłowym,
- prostopadłościanem,
- rombościanem,
- hipersześcianem (w przestrzeni trójwymiarowej).
Pomiędzy ścianami sześcianu o wspólnej krawędzi znajduje się kąt o mierze 90°.
Sześcian – najważniejsze wzory
Obliczanie poszczególnych wzorów sześcianu jest bardzo proste, ze względu na prostotę tej figury. Wszystkie ściany sześcianu mają bowiem taką samą powierzchnię, z kolei wszystkie krawędzie – taką samą długość.
Pole powierzchni sześcianu
Pole powierzchni całkowitej sześcianu obliczane jest poprzez dodanie wszystkich pól powierzchni ścian. Jako że wszystkie ściany sześcianu są takie same, wystarczy pole jednej ściany pomnożyć razy 6.
Wzór na pole powierzchni całkowitej sześcianu:
a – bok sześcianu
Objętość sześcianu
Do obliczenia objętości sześcianu także potrzebujemy wyłącznie długości jednego boku. Wzór na objętość sześcianu wygląda następująco:
a – bok sześcianu
Długość przekątnej sześcianu
Długość przekątnej sześcianu możemy obliczyć na dwa sposoby. Pierwszym z nich jest skorzystanie z gotowego wzoru, który wygląda następująco:
d – przekątna sześcianu
a – bok sześcianu
W drugim sposobie na obliczenie długości przekątnej sześcianu korzystamy z twierdzenia Pitagorasa. Wystarczy wówczas zaobserwować, że w stworzonym trójkącie prostokątnym, w którym przeciwprostokątna jest przekątną sześcianu, przekątna podstawy to przekątna kwadratu, a więc:
lub
Promień kuli wpisanej w sześcian
Zadania z kulą wpisaną w sześcian lub opisaną na sześcianie pojawiają się bardzo często. Warto więc poznać wzory na promień kuli wpisanej w sześcian i opisanej na sześcianie. Wzór na pierwszy, czyli promień kuli wpisanej w sześcian wygląda następująco:
Promień kuli opisanej na sześcianie
Promień kuli opisanej na sześcianie zapisujemy z kolei wzorem:
Sześcian w życiu codziennym
Ciężko wskazać, w jakich obszarach życia możemy doszukać się sześcianów, bo tak naprawdę otaczają nas one ze wszystkich stron. Powyższe wzory odnajdują zastosowanie na co dzień. Z materiałów o kształcie tej figury przestrzennej zbudowany jest nawet prawdopodobnie nasz dom. Na etapie planowania, w szczególności wzór na pole powierzchni całkowitej, jest niezwykle często wykorzystywany. Warto więc zapamiętać wszystkie wzory, zwłaszcza że są bardzo proste.