Wielomianem określamy wyrażenie algebraiczne będące sumą jednomianów. Co jednak ważne, wielomianem możemy także nazwać dwumian, a także jednomian. Zanim skupimy się bardziej na wielomianach, warto na chwilę powrócić do definicji jednomianu.
Jednomian jest wyrażeniem algebraicznym, które składa się z jednej liczby bądź jednej czy kilku liter. Przykładami jednomianów są np. 6x, 102, 12a2, 3x3, yz2
Dwumianem jest z kolei wyrażenie algebraiczne, które składa się z dwóch jednomianów. Są one ze sobą połączone znakiem dodawania lub odejmowania. Przykładami dwumianów są: x-3, 4x2+5x, x2+y
Kolejno możemy wymieniać także trójmiany (złożone z trzech jednomianów połączonych znakiem dodawania lub odejmowania), czworomiany czy pięciomiany. Dużo prostszym nazewnictwem zamiast kolejnego wyliczania jest po prostu określenie: wielomian.
Choć wielomiany mogą składać się z wielu zmiennych (x, y, z), najczęściej zajmujemy się wielomianami z jedną zmienną (x).
Wielomian stopnia n zmiennej x to wyrażenie postaci:

– ustalone liczby rzeczywiste, n
i ![]()
Funkcja wielomianowa
Funkcja wielomianowa to rodzaj funkcji, której wzór jest wielomianem. Funkcje wielomianowe są najczęściej oznaczane literą W, możemy jednak spotkać się także z zapisem: P, Q, R. Aby zapisać funkcję wielomianową, możemy nawet wykorzystać literkę f.
Wielomiany – obliczanie wartości
Aby obliczyć wartości liczbowe wielomianów, wystarczy podstawić w miejsce x podaną liczbę. Wielomiany obliczamy więc identycznie jak wartości funkcji i wartości wyrażeń algebraicznych.
Przykład

Aby obliczyć wartość liczbową wielomianu, wystarczy podstawić w miejsce x podany argument:
![]()
Wartość wielomianu wynosi 34
Stopień wielomianu – definicja
Stopniem wielomianu określamy najwyższą potęgę x w podanym wielomianie.
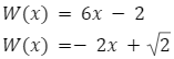
Wielomiany stopnia 1-ego:

Powyższe wielomiany określamy wielomianami stopnia pierwszego, ponieważ w każdym z nich x występuje w pierwszej potędze.
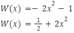
Wielomiany stopnia 2-ego:

Powyższe wielomiany określamy wielomianami stopnia drugiego, ponieważ w każdym z nich jest x podniesiony do drugiej potęgi.
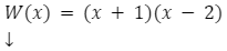
Analogicznie do poprzednich przykładów wygląda wielomian stopnia 3. Warto zwrócić także uwagę na szczególne przypadki, by uniknąć błędów:

wielomian stopnia trzeciego
wielomian stopnia drugiego:
